2025

Cannabizetol, a Novel Cannabinoid: Chemical Synthesis, Anti-inflammatory Activity and Extraction from Cannabis sativa L
Pozzi L., Gotti A., Fumagalli M., Cittarella A., Fasano V., Paladino G., Ciriello U., Princiotto S., Annunziata F., Martinelli G., Sangiovanni E., Pinto A., Dell’Agli M., Passarella D.
J. Nat. Prod. 2025, 88, 10, 2451–2459
doi: 10.1021/acs.jnatprod.5c00826

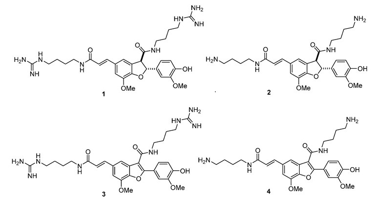
Exploring Guanidinium Group Involvement in Hordatine Interactions with the G-Quadruplex Motif Within the c-MYC Promoter Region
Dozio D., Caccia A., Dallavalle S., Beretta G.L., Perego P., Artali R., Mazzini S., Princiotto S.
Int. J. Mol. Sci. 2025, 26(21), 10580

5th Next Generation Biocatalysis Symposium (NextGenBiocat) in Milano, Italy
Contente M.L., Parmeggiani F.
ChemBioChem 2025, 26, e202500550 (1 of 5)

Spinning Green: Lipase-Catalyzed Synthesis of Bioactive Fatty Acid Amides from Renewable Lipid Feedstocks in a Rotating Bed Reactor
Bigliardi M., Donzella S., Dăescu D.-I., Pellis A., Tamborini L., Pinto A., Contente M.L.
ACS Sustainable Chem. Eng. 2025, 13, 42, 18214–18222.

Cooperative Enhancement of Aldoxime Dehydratase Stability through Whole-Cell Immobilization and Flow Reactor Integration
Nespoli L., Donzella S., Bigliardi M., Contente M. L., Pinheiro de Souza Oliveira R., Romano D., Molinari F.
ChemBioChem 2025, 26, e202500618 (1 of 8)

Streamlining Vorinostat Synthesis: A Chemoenzymatic Continuous Flow Approach
Annunziata F., Tamborini L., Pinto A., Christodoulou M.S., Dallavalle S., Princiotto S., Contente M.L.
Eur. J. Org. Chem., 2025, 28(27), e202500178

Chromenone Derivatives as CRM1 Inhibitors for Targeting Glioblastoma
Princiotto S., Jiménez L., Domínguez L., Sequeira J. G. N., Mourato C., Orea-Soufi A., Santos B., Dallavalle S., Machuqueiro M., Ferreira B. I., Link W.
Chembiochem, 2025, 26(15), e202500195

Retargeting Gram-Positive-Only Adarotene-Derived Antibacterials to Broad-Spectrum Antibiotics
Princiotto S, Cutarella L., Fortuna A., Mellini M., Casciaro B., Loffredo M.R., Temprano A.G., Cappiello F., Leoni L., Mangoni M.L., Mori M., Musso L., Sacchi F., Pinna C., Rampioni G., Dallavalle S., Pisano C.
Antibiotics 2025, 14(9), 956

Reproducible Ala-Gly oligomerization catalyzed by the natural Borate colemanite in prebiotic conditions
Rimoldi I., Facchetti G., Feni L., Gatta G.D., Lotti P., Rizzato S., Christodoulou M.S., Silvestrini L., Lo Presti L.
Sci. Rep. 15, 29006 (2025)

Design, synthesis, and biological evaluation of chalcone derivatives as selective Monoamine Oxidase-B inhibitors with potential neuroprotective effects
Facchetti G. , Marchese S. , Coccè V. , Doneda L. , Alessandri G. , Paino F. , Pessina A. , Pinzi L. , Rastelli G. , Binda C. , Christodoulou M.S. , Rimoldi I.
Eur. J. Med. Chem. 2025, 298, 117990

UV-Shielding Biopolymer Coatings Loaded with Bioactive Compounds for Food Packaging Applications
Coatings 2025, 15(7), 741
Gennaro M., Büyükta D. , Carullo D., Pinto A. , Dallavalle S., Farris S.

New catalytic strategies for one-pot total synthesis of L-carnosine
Mol. Catal. 584 (2025) 115246
Facchetti G., Coffetti G., Christodoulou M.S. , Arnal L., Rimoldi I.

Preliminary Data on the Antiviral Activity of Helleborus bocconei subsp. intermedius Root Extracts Against Animal Herpesviruses
Microorganisms 2025, 13(4), 891
Galluzzo P., Di Bella S., Migliore S., Raimondi M.V., Bivacqua R., Borgonovo G., Princiotto S., Girgenti A., Palumbo L., Dara S., Guercio A., Alduina R., Loria G.R., Cannella V.

Antibacterial activity of tamoxifen derivatives against methicillin-resistant Staphylococcus aureus
Front. Pharmacol. 2025, Vol. 162025, Art. num. 1549288
Molina Panadero I., Falcón Torres J., Hmadcha A., Princiotto S., Cutarella L., Mori M., Dallavalle S., Christodoulou M. S., Smani Y.

Nature-Inspired Biphenyls and Diphenyl Ethers: Design, Synthesis, and Biological Evaluation
Sacchi F., Ghosh S., Dallavalle S., Fessas D., Cortesi P., Martino P.A., Starna J. L. E., Pinto A., Annunziata F., Princiotto S., Kunova A.
ACS Omega 2025, 10 (21), 22028–22035

Mitochondria-targeted rosmarinic acid: Its role against oxidative damage
Girgenti A., Picone P., Buttacavoli M., Palumbo L., Naselli F., Presti E.L., Pecora D., Cipollina C., Annunziata F., Pinto A., Tamborini L., Nuzzo D.
Biomed Pharmacother 2025, 187, 118114

Pioneering Women Shaping the Field of Biocatalysis
Benítez-Mateos, A. I. , Caroline E. P. , Schmidt, S., Contente, M.L.
ChemCatChem 2025, 0, e202500088

Flow biocatalysis: a pathway to sustainable innovation
Bigliardi M., Contente M.L.
Biochem (Lond) (2025) 47 (1), 12–16
doi: 10.1042/bio_2024_936

Valorization of Apple Pomace: Production of Phloretin Using a Bacterial Cellulose-Immobilized β-Glycosidase
Colacicco A., Nespoli L., Ribul Moro E., Farris S., Molinari F., Romano D., Contente M.L.
ChemSusChem 2025, 00, e202500592

Natural Antifungal Alkaloids for Crop Protection: An Overview of the Latest Synthetic Approaches
Dozio D., Sacchi F., Pinto A., Dallavalle S., Annunziata F., Princiotto S.
Pharmaceuticals, 2025, 18(4), 589
doi: 10.3390/ph18040589

Two-step flow amidation of natural phenolic acids as antiradical and antimicrobial agents
Pecora D.; Magni A.; Vicinanza S.; Annunziata F.; Princiotto S.; Donzella S.; Meroni G.; Martino P. A.; Basilico N.; Parapini S.; Conti P.; Borsari C.; Tamborini L.
Journal of Natural Products

Assessing the impact of food-derived bioactives on digestive proteases by in vitro and in silico approaches
Borgonovi S.M.; Perugino F.; Dellafiora L.; Annunziata F.; Pedroni L.; Galaverna G.; Pinto A.; Dallavalle S.; Iametti S.; Di Nunzio M.
Food and Function 2025, 16, 2959-2971
doi: 10.1039/D4FO04022H

Enzymatic Deglycosylation and Lipophilization of Soy Glycosides into Value-Added Compounds for Food and Cosmetic Applications
Corti M.; Annunziata F.; Colacicco A.; Tamborini L.; Molinari F.; Contente M.L.; Pinto A.
ACS Omega 2025, 10 (12) 12417–12424

Biocatalyzed Synthesis of Benzoyl and Cinnamoylamides Inspired by Rice Phytoalexins
Pinna C.; Nespoli L.; Brioschi G.; Kunova A.; Cortesi P.; Martino P.A.; Molinari F.; Musso L.; Dallavalle S.; Contente M.L.; Pinto A.
ACS Agric. Sci. Technol. 2025, 5 (4) 461–467

Valorization of saffron waste as a natural source of 3-hydroxy-γ-butyrolactone, a valuable chiral building block for pharmaceutical applications
Corti M.; Princiotto S.; Zuccolo M.; Beretta G.; Dallavalle S.; Pinto A.; Annunziata F.; Borgonovo G.
Tetrahedron Green Chem 2025, 100069

Efficient and Versatile Flow Synthesis of New Nonionic Glucamide Surfactants
Pecora D.; Ballabio G.; Brioschi G.; Robescu M.S.; Semproli R.; Mapelli B.; Annunziata F.; Speranza G.; Cappelletti G.; Ubiali D.; Tamborini L.
ACS Omega 2025, 10 (7) 6976–6982

Feruloyl-amides as natural antimicrobials for crop and food protection
Dozio D.; Ghosh S.; Consolini D.A.; Ermini J. L.; Pinto L.; Baruzzi F.; Contente M.L.; Pinto A.; Cortesi P.; Princiotto P.; Kunova A.; Dallavalle S.
Chemical and Biological Technologies in Agriculture

Oxidation of benzyl alcohol derivatives into carboxylic acids with a new Acetobacter malorum strain: boosting the productivity in a continuous flow system
Nespoli L.; Donzella S.; Moro E.R.; Mafezoli J.; Contente M.L.; Romano D.; Molinari F.
Molecular Catalysis 571 (2025) 114698